更新时间:2025-12-15 GMT+08:00
如何判断盘古大模型训练状态是否正常
判断训练状态是否正常,通常可以通过观察训练过程中Loss(损失函数值)的变化趋势。损失函数是一种衡量模型预测结果和真实结果之间的差距的指标,正常情况下越小越好。
您可以从平台的训练日志中获取到每一步的Loss,并绘制成Loss曲线,来观察其变化趋势。一般来说,一个正常的Loss曲线应该是单调递减的,即随着训练的进行,Loss值不断减小,直到收敛到一个较小的值。
以下给出了几种正常的Loss曲线形式:
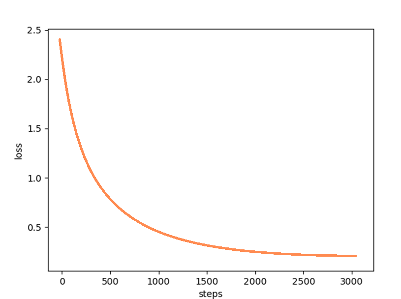
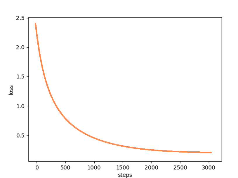
图1 正常的Loss曲线:平滑下降


图2 正常的Loss曲线:阶梯下降


如果您发现Loss曲线出现了以下几种情况,可能意味着模型训练状态不正常:
- Loss曲线上升:Loss上升的原因可能是由于数据质量差,或者学习率设置的过大,使得模型在最优解附近震荡,甚至跳过最优解,导致无法收敛。您可以尝试提升数据质量或者减小学习率的方式来解决。 图3 异常的Loss曲线:上升

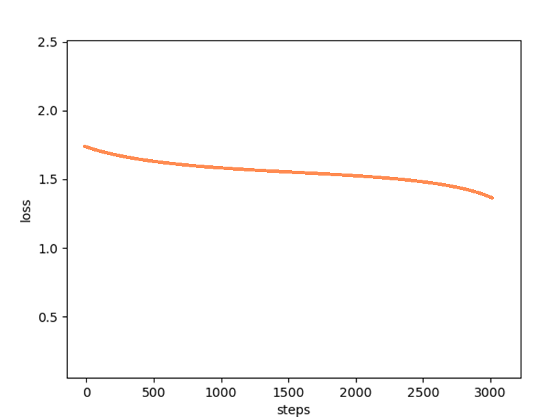
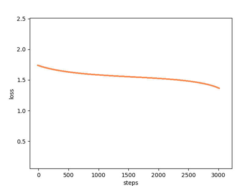
- Loss曲线平缓,保持高位:Loss保持平缓且保持高位不下降的原因可能是由于目标任务的难度较大,或者模型的学习率设置的过小,导致模型的收敛速度太慢,无法达到最优解。您可以尝试增大训练轮数或者增大学习率的方式来解决。 图4 异常的Loss曲线:平缓且保持高位

- Loss曲线异常抖动:Loss曲线异常抖动的原因可能是由于训练数据质量差,比如数据存在噪声或者分布不均衡,导致训练过程不稳定。你可以尝试提升数据质量的方式来解决。 图5 异常的Loss曲线:异常抖动

父主题:大模型微调训练类

